
Chemistry is one of the most popular VCE subjects thatoffers students opportunity to explore a wide range of scientific concepts and to develop scientific skills and thinking. It is also a subject that boosts upyour study score and ATAR with “bonus points”. There has been lots of questions and debates on whether this subject is challenging to students or not. While there surely are ways to study smart and get on top of the subject, lots ofparents and students underestimate the difficulty. So in this blog, I am going to explain how chemistry might appear easy or hard and give advice on how students approach the contents and exams with strategies.
Have you ever heard someone telling you that VCE chemistry is just about memorising concepts, reactions and equations? And have you ever though that chemistry exams are full of calculations which can be easily resolved with formula? However, with the launch of the new study design in2024, VCE chemistry exams are heading towards a direction that is morebased on understanding, explanation and application. There are around 90% of the questions that can’t be easily solved by the memorised equations and formula. Lots of students realise when they start attempting exam-styled questions inyear 12, that just knowing the contents and formula is not enough to get them through a question that is application based. Even with effort to fill in allthe blanks in answer sheets, they usually fail to get full marks for thequestion. So, they soon will figure out that they have underestimated the difficulty of chemistry. In fact, chemistry is hard, not because of howcomplicated the concepts are, but due to the way contents are tested and theway marks are allocated.
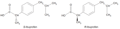
In 2026, it is foreseeable that the chemistry exam will keepshifting its focus away from testing whether students are able to calculate thecorrect answer or point out the correct law in their response. To achieve ahigher study score, students need to demonstrate their scientific reasoning andapplying their knowledge to real-world chemistry scenarios. For example, there is a question from VCE chemistry sample exam asks students to compare the meting point of two forms of ibuprofen (the component in painkiller) as shown below:

Students get confused when they see these complicated molecules which look completely different to what they have learnt in organic chemistry. But if they recognise that these molecules are a pair of what wecall “optical isomer”, they will be able to know the pair is actually identicalin most physical properties including boiling point. Students will also beasked to explain real-world phenomenon with chemistry concepts, proposesolutions to industrial dilemma and to evaluate an experiment with knowledge and experience. This is why some students find them losing marks even with contents learnt by heart. Applying knowledge is way harder than just memorising.
We always can see from extended response the gap between high-achieving students and other students. Most students struggle since they haven’t learnt the strategy to phrase their response in a more logical way.When approaching experimental design questions, they are not sure about whereto get started or what information in the given material is key to answering questions. Sometimes students struggle to finish an assessment or exam within time and need more time management tips and training to be able to allocate theright amount of time to each section. And for some students, not able to useexam-styled language and keywords is the main barrier to a high score.
So, it is critical that we study in a smarter way not onlyto learn and understand the content but also to gain the ability to apply them with logic. This is what distinguishes high achieving students from the rest ofthe cohort. These students tend to spend extra time, apart from learning content, on brainstorming how content can be tested in the exam. They gothrough VCAA past exam questions as they go, focus on the marking guide andwork out how marks are allocated to a response. When they approach a question,instead of randomly throwing relevant concepts and ideas into their response,they make a plan to structure their response so that all aspects of questionsare covered. When they see a particularly difficult question, they go back tothe basis and find clues that leads to one or more specific sections ofknowledge to be applied. And most importantly, mistakes are their helper. Create an error log, reflect on why marks are lost and come back again beforeschool SACs and exams.
These strategies and approaches sound hard to apply at the beginning.But after consistent practice and reflection, you will be able to put the puzzle pieces together quite smoothly. All you need at this stage is to take the first step of culturing these learning skills. Some students find it helpful to be guided by an experienced VCE chemistry tutor. It won’t be the same for everyone since we all have different ways of building habits and learning new things. What a tutor really does is not just to feed the knowledge, but to help with concepts that you struggle to understand. They help find your strengths and weaknesses and work out strategies to improve. They provide you with exam-styled questions for practice, find out the reason why marks are lost in extended response, and help you develop strategies that are tailored to you. Their job is to give to guidance and methods, rather than just doing your work for you. This is why you want to choose tutors who are familiar with marking guide and rubrics, who can be a good guidance in your VCE chemistry journey. And this is what our VCE chemistry Melbourne tutoring service commits to.
So back to the same question: is VCE chemistry really hard? I think you should have an answer after reading this blog. With study strategies confidence, you will be able enjoy a fruitful chemistry learning journey which leads to success.